Insuran Perjalanan Penjawat Awam





Journey Of Life Permohonan Insurans Perjalanan Bagi Penjawat Awam

Journey Of Life Permohonan Insurans Perjalanan Bagi Penjawat Awam

Tuntutan Bayaran Balik Insurans Perjalanan Ke Luar Negara Oleh Penjawat Awam Cikgu Share

Tuntutan Bayaran Balik Insurans Perjalanan Ke Luar Negara Oleh Penjawat Awam Cikgu Share

Wanderlust Dj Permohonan Perlindungan Insurans Kesihatan Di Luar Negara Atas Urusan Persendirian

Wanderlust Dj Permohonan Perlindungan Insurans Kesihatan Di Luar Negara Atas Urusan Persendirian

Cuepacspa Tawar Insuran Perlindungan Maksimum Rm440 000 Serendah Rm6 Sebulan Untuk Penjawat Awam Sentiasapanas

Cuepacspa Tawar Insuran Perlindungan Maksimum Rm440 000 Serendah Rm6 Sebulan Untuk Penjawat Awam Sentiasapanas

Ini Cara Untuk Penjawat Awam Nikmati Tajaan Insurans Perjalanan Ke Luar Negara

Ini Cara Untuk Penjawat Awam Nikmati Tajaan Insurans Perjalanan Ke Luar Negara

Wanderlust Dj Permohonan Perlindungan Insurans Kesihatan Di Luar Negara Atas Urusan Persendirian

Wanderlust Dj Permohonan Perlindungan Insurans Kesihatan Di Luar Negara Atas Urusan Persendirian

Wanderlust Dj Permohonan Perlindungan Insurans Kesihatan Di Luar Negara Atas Urusan Persendirian

Ct2 Yssnbvti5m

Ct2 Yssnbvti5m

Insurans Archives Info Melayu

Insurans Archives Info Melayu

Ini Cara Untuk Penjawat Awam Nikmati Tajaan Insurans Perjalanan Ke Luar Negara

Ini Cara Untuk Penjawat Awam Nikmati Tajaan Insurans Perjalanan Ke Luar Negara

Insurans Ke Luar Negara Bagi Penjawat Awam Duduk Bersila

Insurans Ke Luar Negara Bagi Penjawat Awam Duduk Bersila

Cuepacscare Program Takaful Insurans Penjawat Awam

Cuepacscare Program Takaful Insurans Penjawat Awam

Info 2020 Cara Mengira Kelayakan Pinjaman Perumahan Sektor Awam Pinjaman Lppsa Terkini 2018

Info 2020 Cara Mengira Kelayakan Pinjaman Perumahan Sektor Awam Pinjaman Lppsa Terkini 2018

Semakan Bayaran Dan Naziran Pdf

Semakan Bayaran Dan Naziran Pdf

Jalan Jalan Cari Pengalaman Jjcp Indonesia Persiapan

Jalan Jalan Cari Pengalaman Jjcp Indonesia Persiapan

Cara Ke El Rosa Beauty Global Resources Jalan P15 12b Putrajaya Di Sepang Menggunakan Bis Moovit

Cara Ke El Rosa Beauty Global Resources Jalan P15 12b Putrajaya Di Sepang Menggunakan Bis Moovit

Skim Pencen Sektor Awam Bahagian Pasca Perkhidmatan 25 September Pdf Free Download

Skim Pencen Sektor Awam Bahagian Pasca Perkhidmatan 25 September Pdf Free Download

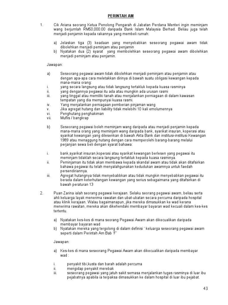
Perintah Am

Perintah Am

Suatu Skim Insurans Perubatan Yang Memberikan Ketenangan Risalah Pdf Tiruan Alat Pendengaran

Suatu Skim Insurans Perubatan Yang Memberikan Ketenangan Risalah Pdf Tiruan Alat Pendengaran

Web Viewsistem Permohonan Kebenaran Ke Luar Negara Dibangunkan Bertujuan Untuk Memberi Kemudahan Docx Document

Web Viewsistem Permohonan Kebenaran Ke Luar Negara Dibangunkan Bertujuan Untuk Memberi Kemudahan Docx Document

Suatu Skim Insurans Perubatan Yang Memberikan Ketenangan Risalah Pdf Tiruan Alat Pendengaran

Suatu Skim Insurans Perubatan Yang Memberikan Ketenangan Risalah Pdf Tiruan Alat Pendengaran

Source : pinterest.com